Клінічна картина. Гормонопродуктивні пухлини кори надниркових залоз викликають ряд симптомів: вирилизацию, фемінізацію, синдром Кушинга, альдостеронизм та ін; часто зустрічаються змішані форми.
Порівняно з іншими пухлинами дитячого віку маскулинизирующие пухлини кори надниркових залоз зустрічаються досить часто, особливо в ранньому дитячому віці. Ці пухлини зустрічаються значно частіше у дівчаток, ніж у хлопчиків.
Характер маскулінізації, спричиненою пухлиною, такий же, як і при гіперплазії кори надниркових залоз, симптоми, однак, більш виражені, більш численні. Так, наприклад, оволосіння може поширитися на все тіло і бути настільки інтенсивним, що поверхня тіла нагадує шерсть тварини.
У дорослих зміни статевих органів майже непомітні; провідним симптомом у дорослих є гірсутизм (Kinsell a. Lisser, 1952).
Характерними ознаками пухлини у дівчаток є ранній розвиток молочних залоз, ріст матки і кров'янисті виділення, що пояснюється підвищеною секрецією естрогенів.
Із загальних симптомів слід згадати явища здавлення, біль і порушення кишкової прохідності; описані і великі пухлини вагою 1-2 кг У більшості випадків це злоякісні пухлини, які рано метастазують, в першу чергу в печінку та легені.
Розлади стероїдного обміну вельми різноманітні; є повідомлення про секреції і виділення безлічі патологічних продуктів стероїдного обміну. Характер порушення стероїдного синтезу залежить, по всій ймовірності, від структури пухлини.
При адреногенітальному синдромі, спричиненому пухлиною наднирника, особливо при раку наднирника, виділення 17-кетостероїдів підвищено значно більше, ніж при гіперплазії кори надниркових залоз. Описані випадки, коли хворі виділяли до 1500 мг 17-кетостероїдів у добу. Для пухлини надниркових залоз характерно виділення великої кількості Зβ-окси-17-стероїдів і особливо дегідроепіандростерон (до 50-90%). Механізм синтезу дегідроепіандростерона ще недостатньо вивчений. Старими методами дослідження не вдавалося виявити його в такому високому відсотку, так як в ході кислого гідролізу руйнується значна частина цієї речовини.
Значно зростає і виділення естрогенів (Kolff а. Tjiook, 1950; Migeon a. Gardner, 1952, та ін), однак біологічна активність естрогенів відтісняється на задній план дією андрогенів, що виділяються у величезній кількості.
Патологічна анатомія. Серед пухлин кори надниркових залоз, що володіють гормональною активністю, злоякісні пухлини зустрічаються в 2 рази частіше доброякісних аденом; розміри пухлин досить різноманітні. За гістологічною будовою аденома кори наднирника нагадує структуру zona reticularis. Для раку характерний безладний зростання; в пухлині часто є крововилив, некроз і випадання солей. Пухлинні клітини круглої або овальної форми; вони значно більше нормальних клітин. Дуже велике число клітин знаходиться у стадії поділу.
Діагностика та диференціальна діагностика. Якщо ознаки адреногенітального синдрому виникають після народження, треба думати про вирилизирующей пухлини кори надниркових залоз. Однак постнатальний початок захворювання ще не говорить про етіології пухлини. Якщо до ознак вірилізації приєднуються ознаки синдрому Кушинга, то, ймовірно, є пухлина наднирника.
У диференціальної діагностики між пухлинами та гіперплазією кори надниркових залоз вирішальну роль можуть зіграти хімічні дослідження. Якщо виділення 17-кетостероїдів підвищено в 10-20 разів, то, ймовірно, є пухлина наднирника. Про пухлини також говорить і збільшення відсотка β-стероїдів, в першу чергу дегідроепіандростерона. Однак слід зазначити, що і в цьому відношенні є виключення і що низький вміст дегідроепіандростерона ще не виключає наявності пухлини.
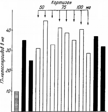
Велике діагностичне значення має кортизоновая проба, так як після введення кортизону або преднизона хворим з пухлиною наднирника виділення 17-кетостероїдів не знижується (описано кілька винятків з цього правила): при гіперплазії кори надниркових залоз в залежності від дози кортизону знижується виділення 17-кетостероїдів (Wurterle es Sas, 1957) (рис. 36).

Рис. 36. Тест з кортизоном у болючіше з пухлиною кори наднирників. Лікарень Ф. Ш., 30 років.
Локалізацію пухлини вдається встановити пальпацією лише в тих випадках, коли її розміри значні; у більшості випадків пухлина вдається виявити при рентгенологічному дослідженні. При наявності великої пухлини на екскреторної пиелограмме видно зміщення нирки донизу. Більш точна картина виходить при ретроградної пієлографії в поєднанні з ретропневмоперитонеумом; ми вважаємо, що цей цінний діагностичний метод більш безпечний, ніж пневморен.
Лікування. Пухлини кори надниркових залоз підлягають хірургічному видаленню; на жаль, великий відсоток пухлин надниркових залоз становить рак, який дуже рано дає метастази. Думки хірургів щодо доступу розходяться. В даний час більшість хірургів користується косим вертикальним і трансторакальним розрізами, що забезпечують найкращий доступ до надпочечникам.
В післяопераційному періоді слід провести променеву терапію, особливо в тих випадках, коли повне видалення пухлини не представлялося можливим. Пухлини найчастіше складаються з високодиференційованих клітин, малочутливих до променевої терапії, тому прогноз поганий, про що свідчать і наші спостереження.
Перед операцією потрібно почати замісну гормональну терапію, щоб запобігти виникненню гострої гипадрении в ранньому післяопераційному періоді.
