Завдання уроку: дати учням поняття про групи крові у людей; познайомити з переливанням крові, його застосуванням і значенням,
Обладнання. Демонстраційний матеріал: таблиці: «Кров», «Кров людини».
ПЛАН УРОКУ
1. Повторення і перевірка знань.
Індивідуальний ущільнений опитування.
2. Вивчення нового матеріалу. Групи крові.
Переливання крові. Застосування його в медицині.
Розповідь вчителя і демонстрація визначення групи крові.
3. Закріплення.
Правила переливання крові.
Складання таблиці.
ПРОВЕДЕННЯ УРОКУ
Учитель викликає відразу кількох учнів. Один малює на дошці будова еритроцита і лейкоцита, а потім розповідає про їх функції, другий - схему згортання крові, третій - схему складу крові.
Учитель ставить додаткові запитання відповідає і всьому класу: де утворюються еритроцити? Чим відрізняються молоді еритроцити від зрілих? Яке це має значення? Що таке недокрів'я? Чому у малокровных слизові оболонки повік бліді? Може згортатися сироватка і чому? Як рятують людей при великих втратах крові? Учні знають про вплив фізіологічного розчину. Деякі згадують про переливання крові. Учитель розповідає про те, що навіть на початку XX ст. солдати гинули не стільки від куль, скільки від втрати крові, говорить про перших невдалих спробах переливання крові, про відкриття груп крові.
Він розповідає, чим характеризується кожна група і чим вони різняться, знайомить учнів з білковими речовинами еритроцитів (А і В) і відповідними антитілами сироватки крові (а і в)**, які діють на них, і з правилами переливання крові. Креслить На дошці таблицю, яку учні перечерчивают в зошиті і заповнюють разом з учителем.
Ставиться завдання учням: кров якої групи можна переливати хворим з I, II, III і IV групами крові?
Вчитель розповідає основне правило: еритроцити крові донора не повинні містити білкових речовин А і В, на які могли б подіяти антитіла (а і в) плазми хворого. Зворотна зустріч а і в донора з білками (Л і В) еритроцитів хворого не має істотного значення з-за великого розведення їх у плазмі хворого. Звертається увага на те, що в крові будь-якої групи білкові речовини А і В не зустрічаються зі своїми антитілами. Тільки після цього учні приступають до виконання поставленого завдання і заповнюють таблицю словами «можна» і «не можна».
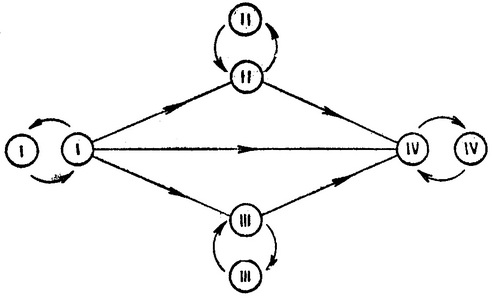
Після заповнення таблиці учні роблять висновок, що універсальними донорами є люди з кров'ю I групи (в їх крові не міститься А і В). Але їм самим можна переливати кров тільки тієї ж групи. Хворим з IV групою крові можна переливати будь-яку кров (рис. 21).

Рис. 21. Схема, яка доводить можливість переливання крові лйдям з різними групами
| Кров донора | Кров хворого | |||
| I а і в |
II А і в |
III В і а |
IV А і В |
|
| I а і в II А і в III В і а IV А і В |
можна не можна не можна не можна |
можна можна не можна не можна |
можна не можна можна не можна |
можна можна можна можна |
Наприкінці уроку вчитель коротко знайомить учнів з методикою визначення груп крові, із застосуванням переливання крові у зв'язку з його консервацією та іншими способами зберігання, а також у зв'язку з винаходом штучних замінників крові.
Завдання додому: продовжити вивчення статті «Плазма крові».
** Умовне позначення.
