Промислові отрути (професійні, або виробничі) - хімічні речовини, що використовуються на виробництві і надають шкідливу дію на організм людини при порушенні правил техніки безпеки і гігієни праці.
Промислові отрути викликають частіше хронічні інтоксикації. Розрізняють кілька стадій реакцій організму на хронічний вплив промислових отрут: стадія первинної декомпенсації, стадія компенсації (так зване звикання) і стадія вторинної декомпенсації, в яку неухильно переходить стадія звикання. Таким чином, звикання до промислових отрут слід розглядати як явище небезпечне і неприпустиме.
Встановлено, що переривчасте (інтермітуючий) дія промислових отрут зазвичай більш шкідливо, ніж дія тих же отрут в постійних (середніх) концентраціях за той же період часу.
При впливі на організм деяких промислових отрут відмічено виникнення злоякісних новоутворень.
Впливаючи на організм батьків і на плід, такі промислові отрути, як важкі метали, включаючи свинець і ртуть, ароматичні сполуки, нітро - і аміносполуки, галогенизированние вуглеводні (зокрема, хлоровані), фосфорорганічні речовини, різні радиомиметические сполуки, можуть надавати гонадо - і эмбриотропное дію, тератогенну і мутагенну вплив на потомство.
Основні шляхи профілактики впливу промислових отрут на організм: а) виключення з технології виробництва токсичних і небезпечних для життя отрут або заміна їх на менш токсичними і менш небезпечними; б) вкорочення (у разі необхідності) робочого дня і збільшення відпусток для осіб, що стикаються з отрутами; в) належна вентиляція (див.), однією з основ розрахунку якої є встановлення в повітрі робочих приміщень гранично допустимої концентрації промислових отрут; г) носіння захисного одягу (див.), застосування протигазу (див.), респіратора (див.) і в разі необхідності інших засобів захисту (захисні пасти, мазі та ін); д) організація душових з щоденною зміною (у разі необхідності) виробничого натільної білизни;
е) періодичні медогляди, розробка протипоказань для роботи з промисловими отрутами, лікувально-профілактичне харчування, медикаментозна профілактика (відповідні інгаляторій тощо), фізична культура;
ж) наукове обґрунтування актів санітарного законодавства, зокрема в галузі гігієнічного нормування факторів зовнішнього середовища.
Дуже важливим є встановлення гранично допустимих концентрацій шкідливих речовин у повітрі робочої зони, тобто такі концентрації, які при щоденній роботі в межах 8 годин протягом усього робочого стажу не можуть викликати у працюючих захворювань або відхилень у стані здоров'я, що виявляються сучасними методами дослідження, безпосередньо в процесі роботи або у віддалені терміни (див. табл.). Гранично допустимі концентрації є обов'язковим санітарним нормативом, призначеним для проектування виробничих будівель, технологічних процесів, обладнання та вентиляції, а також для проведення попереджувального та поточного санитарн нагляду та інших видів контролю санітарного режиму в виробничих умовах і для оцінки ефективності оздоровчих заходів. Підприємства і проектують організації повинні домагатися зниження вмісту шкідливих речовин у повітрі робочої зони нижче гранично допустимих концентрацій, встановлених цими нормами.
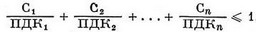
Дотримання нормативів ГДК повинне забезпечуватися в першу чергу шляхом відповідної організації технологічного процесу і раціоналізації обладнання відповідно до вимог санітарних норм. При одночасному вмісті в повітрі робочої зони декількох шкідливих речовин однонаправленої дії (наприклад, фтористий водень та солі фтористоводневої кислоти; сірчистий і сірчаний ангідриди, різноманітні хлоровані вуглеводні, різні спирти; окис вуглецю та оксиди азоту та ін) розрахунок загальнообмінної вентиляції слід проводити шляхом підсумовування обсягів повітря, необхідних для розведення кожної речовини окремо до його гранично допустимої концентрації з урахуванням забруднення припливного повітря. При цьому допустимими для проектування та санітарного нагляду слід вважати такі концентрації (С) шкідливих речовин, які відповідають формулі:
,
тобто сума відношень фактичних концентрацій шкідливих речовин (C1, С2,... Сп) в повітрі приміщень до їх гранично допустимим концентраціям (ПДК1, ПДК2, ... ПДКп), які встановлені для їх ізольованого присутності, не повинні перевищувати 1 (одиниці). При одночасному виділенні декількох газів і парів, що не володіють однаковим характером дії, наприклад наркотиків в комбінації з дратівливими шкідливими речовинами, кількість повітря при розрахунку загальнообмінної вентиляції допускається приймати по тій шкідливості, яка вимагає подачі найбільшого обсягу чистого повітря.
Спосіб розрахунку загальнообмінної вентиляції і контроль за концентраціями при наявності в повітрі декількох шкідливих речовин у кожному конкретному випадку приймаються за погодженням з органами Державного санітарного нагляду з урахуванням характеру дії суміші.
При спільній дії хімічних і фізичних чинників виробничого середовища, а також при важкому фізичному навантаженні і при інших особливих умовах необхідність зміни гранично допустимих концентрацій у кожному конкретному випадку вирішується органами Державного санітарного нагляду.
Для шкідливих речовин, гранично допустимі концентрації яких не наведені в нормах, тимчасові гранично допустимі концентрації та умови застосування цих речовин у кожному конкретному випадку встановлюються органами Державного санітарного нагляду.
ГДК і стандарти постійно переглядаються та доповнюються.
Медична допомога при отруєнні промисловими отрутами - див. Отруєння (таблиця), а також статті про окремих промислових отрути.
Таблиця: Гранично-допустимі концентрації (ГДК) шкідливих речовин у повітрі робочої зони (СН 245-71) сторінки: 1 2 3 4
* При тривалості роботи в атмосфері, що містить окис вуглецю, не більше 1 години гранично допустима концентрація окису вуглецю може бути підвищена до 50 мг/м3, при тривалості роботи не більше 30 хв. - до 100 мг/м3, при тривалості роботи не більше 15 хв.-до 200 мг/м. Повторні роботи в умовах підвищеного вмісту окису вуглецю в повітрі робочої зони можуть проводитися з перервою не менше ніж 2 години.
Дуже важливим є встановлення гранично допустимих концентрацій шкідливих газів, парів і аерозолів у повітрі зони дихання працюючих, тобто таких концентрацій хімічних речовин, які при щоденному впливі протягом робочого дня при тривалій роботі на даному підприємстві не можуть викликати у працюючих професійних захворювань або будь-яких відхилень від нормального стану.
Встановлення в нашій країні гранично допустимих концентрацій максимальних протягом зміни дозволяє більш надійно захистити персонал, ніж прийнята в деяких зарубіжних країнах трактування гранично допустимих концентрацій як среднесменных. Медична допомога при отруєнні промисловими отрутами - див. Протиотрути.
