Введення хоріонічного гонадотропіну супроводжувалося поступовим збільшенням виділення гонадотропінів, що на 5-й день лікування досягло 89 мг на добу. Після закінчення лікування кількість гонадотропінів знизилося до вихідного рівня.
Слід вважати, що під впливом великих доз хориогонина у хворої збільшилася продукція ендогенних гонадотропінів, що викликали лютеинизацию нелопнувшего фолікула. Це підтверджується, зокрема, стійким збільшенням виділення прегнандіолу на тлі постійного низького типу екскреції естрогенів. Відсутність овуляції, на нашу думку, було пов'язано з недостатньою підготовкою фолікулів до овуляції.
Отримані дані свідчать про те, що зниження гормональної функції яєчників виник вторинно, внаслідок порушення гонадотропної функції гіпофіза. Це припущення підтверджується ациклическим характером виділення гонадотропінів до призначення хоріонічного гонадотропіну.


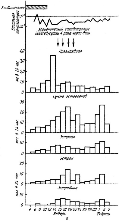
Рис. 20. Екскреція естрогенів, прегнандіолу (а), гонадотропінів (б) і динаміка базальної температури у хворої Ч., 24 років.
Однак не у всіх хворих з дисфункціональними матковими кровотечами у репродуктивному віці, мають монотонне виділення гонадотропінів і низький тин екскреції естрогенів, реакція яєчників до гонадотропної стимуляції була збережена. На рис. 20 показано, що до початку введення хоріонічного гонадотропіну виділення естрогенів і прегнандіолу з сечею, як і в попередньому спостереженні, було низьким, за винятком 12/I 1968 р., коли виявлено одноразовий підйом екскреції прегнандіолу до 3,7 мг на добу. Це підвищення не є суттєвим, так як воно з'явилося на тлі постійної низькою екскреції прегнандіолу і було короткочасним. Введення хоріонічного гонадотропіну в тій же дозі, що і попередній жінці (по 3000 одиниць 4 рази через день), не супроводжувалося збільшенням кількості виділених естрогенів; їх зміст продовжувало залишатися в межах 12,2-26,9 мкг на добу. Виділення прегнандіолу також не підвищилося. Екскреція гонадотропінів до введення хоріонічного гонадотропіну носила постійний ациклічний характер і коливалася в межах, характерних для межпиковых показників при нормальному менструальному циклі.
Як зазначалося вище, в фолликулиновую і лютеїнову фази нормального менструального циклу у здорових жінок репродуктивного віку вміст гонадотропінів в основному було 0,30 мг на добу. Під впливом введення хоріонічного гонадотропіну екскреція гонадотропінів різко збільшилася і на 4-й день лікування досягла 109 мг на добу. Цей пік за своєю абсолютною величиною дещо перевищував рівень фізіологічного піку, типового для нормального двофазного менструального циклу. Після припинення лікування кількість виділяються гонадотропінів поступово знизилося до вихідного рівня.
Враховуючи високий тип виділення гонадотропінів, слід було б очікувати наявність позитивної реакції з боку яєчників. Однак цього не сталося. Низький рівень виділення естрогенів і прегнандіолу, монофазні крива базальної температури, дані кольпоцитограммы вказували на те, що у хворої навіть при інтенсивній гонадотропної стимуляції овуляції не настав: була відсутня і лютеинизация нелопнувшего фолікула.
За даними Brown і співавторів (1958), Brown (1959), період від овуляційного піку естрогенів до початку менструації при нормальному менструальному циклі зазвичай становить 11 -16 днів. У обстеженої нами хворий наступне кровотеча почалася тільки 3/IV 1968 р., тобто через 2,5 місяці після лікування хоріонічним гонадотропіном. Так як кількість виділених гонадотропінів до введення хоріонічного гонадотропіну було досить великим і під впливом екзогенного введення даного препарату система гіпоталамус - гіпофіз відповіла високою продукцією гонадотропінів, можна пояснити відсутність овуляції або лютеинизации нелопнувшего фолікула первинним порушенням їх реактивності до гонадотропної стимуляції.
