Як відомо, для овуляційного піку характерно, що він складається з пропорційного збільшення всіх трьох фракцій естрогенів. Збільшення продукції естрогенів до моменту піку зазвичай відбувається поступово, а зниження - більш круто.
На 14-й день менструального циклу (18/II 1967 р.) показник екскреції гонадотропінів з сечею знизився до 21 мг на добу, приблизно на такому рівні зберігався до початку наступного кровотечі (7/III 1967 р.). Зменшення продукції гонадотропінів за принципом закону зворотного зв'язку сприяло підвищенню вироблення статевих гормонів в яєчниках. В цей період дослідження було відмічено появу піку екскреції естрогенів, а також збільшення вмісту в добовій сечі прегнандіолу (до 2,035 мг). Однак виразний лютеиновый пік відсутній. Базальна температура придбала двофазний характер; тривалість гіпертермічної фази становила 10 днів. За 2 дні до кровотечі (3-5/II 1967 р.) показник виділення естрогенів знизився до 18,3 мкг на добу. У перший день кровотечі зменшилася і кількість прегнандіолу в сечі до 0,178 мг на добу, а гонадотропінів збільшилося 5/II 1967 р. до 43,2 мг на добу.
Залишається неясним питання, яким чином відбулося в даному випадку утворення неповноцінного жовтого тіла - у результаті овуляції недостатньо дозрілого фолікула або лютеинизации нелопнувшего фолікула. Судячи з характеру екскреції естрогенів і відсутності овуляційного піку, овуляція у даної хворої, мабуть, не настала, а відзначалася лютеинизация нелопнувшего фолікула. На нашу думку, причина відсутності овуляції і неможливість утворення повноцінного жовтого тіла полягала в порушення гонадотропної функції гіпофіза. Це проявилося в атипизме гонадотропних піків: початковий пік зберігався відносно довго, а овуляционный пік, навпаки, був короткочасним.
Можна припустити, що високий вміст гонадотропінів у сечі і відносна тривалість їх впливу на яєчники придушили розвиток фолікулів і овуляція не відбулася.
О. Н. Савченко (19676) спостерігала підвищення екскреції гонадотропінів в середині ановуляторних циклу, але воно не призводило до овуляції. На думку автора, причиною ановуляції при збереженій циклічності гонадотропної функції гіпофіза може бути знижена реактивність яєчників до гонадотропної стимуляції, так і порушення центральної регуляції (неадекватність співвідношень між продукцією ФСГ і ЛГ).
Як нами встановлено, що у хворих з дисфункціональними матковими кровотечами клімактеричного віку при монотонному типі виділення гонадотропінів і рівні їх екскреції, що відповідає нормальному менструальному циклу поза фізіологічних періодів піків, показник виділення естрогенів з сечею був значно вище, ніж у пацієнтів тієї ж вікової групи з високим типом екскреції гонадотропінів, абсолютні величини якої перевищували рівні фізіологічних піків при нормальному менструальному циклі.


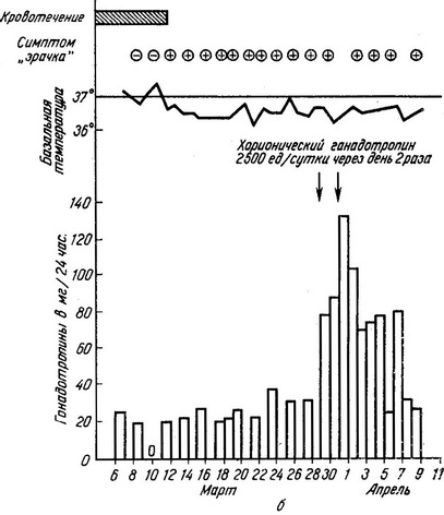
Рис. 22. Виділення естрогенів, прегнандіолу (а), гонадотропінів (б) з сечею, динаміка симптоми «зіниці» та базальної температури у хворої Р., 53 років.
Це наочно видно на графіку, наведеному на рис. 22. На початку обстеження кількість естрогенів у хворої було відносно великим. Максимум їх виділення, представлений збільшенням кількості естрадіолу, естрону, естріолу, з 7 по 15/III 1967 р. був 31,6 - 69,8 мкг на добу. Підйом екскреції естрогенів у даному випадку не був пов'язаний з овуляцією. Якщо припустити, що 9-11/III 1967 р. максимальне виділення естрогенів відповідало овуляції, то після неї екскреція естрогенів повинна була різко знизитися. Проте в наступні 6 днів екскреція зберігалася на високому рівні і лише потім почала поступово зменшуватися. У хворої була відсутня і лютеинизация фолікула, про що свідчать стабільно низькі показники виділення з сечею прегнандіолу, а також монофазні базальна температура. Екскреція гонадотропінів з сечею до призначення хоріонічного гонадотропіну, тобто до 29/III 1967 р., була монотонною, при цьому добове виділення знаходилося в межах величин, характерних для нормального менструального циклу поза наявності піків. Початкового і овуляційного максимумів, типових для нормального двофазного менструального циклу, не спостерігалося. На тлі відносно постійного виділення гонадотропінів було відзначено, що більш низький рівень екскреції цих гормонів (0-22 мг на добу) відповідав періоду підвищеного виділення естрогенів і, навпаки, із зменшенням кількості естрогенів вміст гонадотропінів збільшувалася.
Сторінки: 1 2 3 4 5 6