Досить активний, але не циклічне виділення гонадотропінів у обстежених нами хворих вказує на те, що функція аркуатно-вентро-медіальних ядер базального гіпоталамуса у них була, мабуть, збережена. Згідно з дослідженнями Dey і співавторів (1940), Dey (1941, 1943), Lisk (1960), Davidson, Sawyer (1961), ушкодження, завдані в області аркуатно-вентро-ядер медіального гіпоталамуса, приводять до атрофії яєчників, яка, очевидно, виникає внаслідок різкого пригнічення базальної продукції гонадотропінів.
У більшості хворих репродуктивного віку з дисфункціональними матковими кровотечами основною причиною захворювання було порушення циклічної гонадотропної діяльності гіпофіза, обумовлене порушенням функції гіпоталамічних центрів. Лише у 3 хворих цього віку при динамічному ендокринологічному дослідженні було встановлено циклічне виділення гонадотропінів, але характер цієї екскреції був дещо іншим, ніж при нормальному овуляторному циклі.
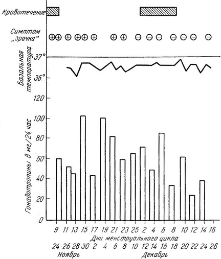
Так, у одного з цих хворих (рис. 6) рівень гонадотропінів у період з 25/ХІ по 24/ХІІ 1967 р. коливався в межах 25-103 ME в добу, складаючи в середньому 61,1±5,7 ME в добу. Таким чином, ці показники перевищували відповідні величини, типові для нормального овуляторного циклу. Виділення гонадотропінів відзначалася певна циклічність. Так, в кінці періоду кровотечі і в перші дні після нього вміст гонадотропінів було більш-менш постійним (46-61 ME в добу). 30/XI 1967 р. (на 15-й день від початку кровотечі) кількість гонадотропінів піднялося до 103 ME в добу. Цей пік з'явився в період, коли найчастіше настає овуляционный пік нормального циклу, і за абсолютною величиною дещо перевищував його (90 ME в добу).
Зниження піку відбувалося ступенеобразно. Через добу рівень гонадотропінів був 45 ME, а потім знову піднявся до 101 ME. Надалі зниження рівня гонадотропінів тривало ще протягом 8 днів. Такий незвичайний вид серединного піку міг бути обумовлений порушенням виділення овуляторного комплексу гонадотропінів. Через 12 днів від моменту появи овуляційного піку (12/XII 1967 р.) настав ановуляторное кровотеча. Про це свідчили тести функціональної діагностики (див. рис. 6.) 16/ХІІ 1967 р. (6-й день від початку кровотечі) виявлено початковий пік виділення гонадотропінів. Незважаючи на високий рівень і певну циклічність екскреції гонадотропінів, тести функціональної діагностики виявили недостатню естрогенну активність яєчників, (кариопикнотический індекс коливався від 1 до 14%, симптом «зіниці» відсутній).

Рис. 6. Виділення гонадотропінів з сечею, динаміка симптоми «зіниці» та базальної температури у хворої М., 29 років.
Мабуть, у даної хворої яєчники були нездатні відповідати не тільки на циклічну, але і на тонічну (базальну) гонадотропну стимуляцію. Можна також припустити, що тривалий гипоэкстринизм, що з'явився наслідком зниженої реактивності яєчників, міг викликати певні зміни в функції гіпоталамуса і гіпофіза, які призвели до порушення секреції гонадотропінів.
Сторінки: 1 2 3 4 5 6 7 8 9 10 11 12 13