Вивчення гонадотропної функції гіпофіза має виключно важливе значення для розкриття механізмів, що лежать в основі регуляції нормального менструального циклу та його порушень Це пов'язано але, тільки з тим, що гіпофіз являє собою «центральну» залозу внутрішньої секреції і його функція певною мірою підпорядкована діяльності багатьох периферичних залоз», в тому числі і яєчників, але і з тим, що він тісно анатомічно і функціонально пов'язаний з гіпоталамусом, який відіграє провідну роль у нейрогуморально-гормональної регуляції менструального циклу.
У різні фізіологічні періоди життя жінки в гонадотропної функції передньої частки гіпофіза відбуваються певні зміни. Згідно з дослідженнями Nathanson і співавторів (1941), Loraine (1956, 1959), Manaro (1959), Soszka і співавторів (1964), А. В. Минкиной (1961, 1965, 1968) та ін., до періоду статевого дозрівання гонадотропна активність гіпофіза дуже низька. Вона недостатня для інтенсивного впливу на яєчники, тому статевих гормонів виділяється невелика кількість.
Дані літератури про кількість містяться в сечі гонадотропінів у дівчаток пубертатного віку неоднорідні. Schwenic і Ohndorf (1957) відзначають, що їх рівень у дівчат 18-19 років коливається від 6,6 до 13,2 ME в добу, а у дівчаток у віці 10,1-16 років гонадотропіни в добовій сечі або відсутні зовсім, або містилися у незначній кількості (6,6 ME).
Kaiser і співавтори (1964) у жінок у віці 19-23 років виявляли коливання добової екскреції сумарних гонадотропінів від 5 до 31,6 ME. При цьому в фолликулиновой і лютеїнової фази рівень екскреції гонадотропінів був приблизно однаковий.
В середині менструального циклу спостерігався виражений пік гонадотропної активності, який передував підйому базальної температури.
За матеріалами Ю. А. Крупко-Большової (1964), добова екскреція гонадотропінів варіює в широких межах (від 2 до 90,4 ME), в період овуляції активність підвищується в середньому до 57,8 ME, в період менструації вона в середньому становить 29,8 ME.
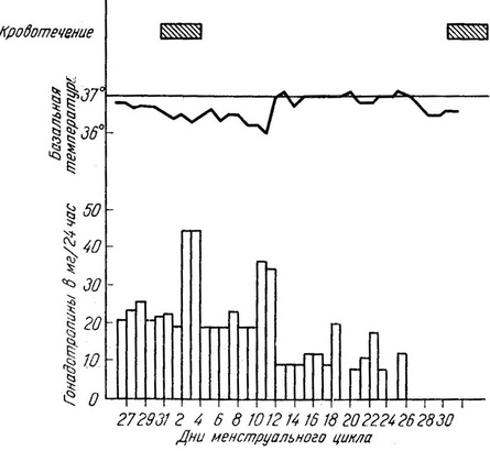
Нами у 3 здорових дівчат у віці 17-18 років був встановлений аналогічний характер екскреції загальних гонадотропінів з сечею (для дослідження був використаний метод Деканского в модифікації Р. С. Степанова). Більше гонадотропінів виділялося на початку і середина менструального циклу, утворюючи два чітко виражених піку. Початковий пік гонадотропінів виявлявся або в останній день попереднього або в перші 4 дня наступного менструального циклу. Овуляционный пік у однієї хворої збіглося зі зниженням базальної температури, а у 2 хворих передував зміни базальної температури або слідував за нею.
Підвищення гонадотропної активності гіпофіза на початку менструального циклу є стимулом для розвитку нового фолікула, а в середині циклу воно пов'язане з овуляцією. За абсолютною величиною перший (початковий) пік гонадотропінів у наших дослідженнях був вище овуляційного. Максимальний рівень початкового піку коливався від 35 до 45 ME в добу, овуляционный - від 30 до 37 ME в добу. Тривалість обох піків становила від 2 до 3 днів. Екскреція гонадотропінів в інші дні менструального циклу сильно варіювала (від 6 до 29 ME в добу) (рис. 1).

Рис. 1. Виділення сумарних гонадотропінів з сечею і крива базальної температури у здорової дівчини 17 років.
