Siebke (1930), Damm (1936) і Furuhjelm (1940) відзначили, що при вивченні екскреції естрогенних гормонів протягом нормального менструального циклу тільки один пік, обумовлений, ймовірно, овуляцією.
Необхідно, однак, підкреслити, що біологічні методи визначення гормонів не відрізнялися великою точністю могли давати помилкові результати.
Найбільш точними методами визначення естрогенних гормонів в сечі в даний час є хімічні. Самим чутливим біохімічним методом визначення естрогенів є удосконалений метод Брауна. На підставі досліджень, проведених за цим методом, О. Н. Савченко (1961) вважає, що у жінок з нормальним менструальним циклом добове кількість естрогенів, що виділяються з сечею варіює від 20 до 125 мкг. Автор розрізняє два піки екскреції естрогенів: перший збігається з моментом овуляції, другий - з лютеїнової фазою менструального циклу. Під час піків вміст естрогенів знаходиться на рівні 115-126 мкг. Протягом проліферативної фази і в кінці фази секреції рівень естрогенів коливається від 20 до 30 мкг.
Пізніше О. Н. Савченко і Р. С. Степанов (1964), використовуючи дещо змінений метод Брауна, також виявили два піки екскреції естрогенів на протязі нормального менструального циклу. Були також відзначені значні варіації абсолютних величин екскреції естрогенів у різних жінок.
Brown і співавтори (1959) у 16 жінок у віці 18-41 року, мали нормальний менструальний цикл, встановили три типи екскреції естрогенів: з максимальним середнім і мінімальним рівнем.
Згідно з дослідженнями наших співробітників (Л. П. Загрядская, 1965, 1966а, і ін), мінімальний рівень (виділення естрогенів на протязі нормального менструального циклу зустрічається переважно у жінок до 20 років. Ні в одній з обстежених дівчат, що перебувають у періоді статевого дозрівання, кількість экскретируемых естрогенів не досягала величин, характерних для статевозрілих жінок.
Вміст естрогенів у період статевого дозрівання в перші дні циклу збільшувалася з 18,2+0,90 мкг на добу до 25,1 ±2,0 мкг на добу в середині циклу. Максимальний рівень естрогенів під час овуляційного піку не перевищував 29,6 мкг на добу. В середині лютеїнової фази менструального циклу естрогенів виділялося менше (15,3± 1,60 мкг на добу), ніж у фазу проліферації (17,7±1,20 мкг на добу; Р<0,01).
Рівень естрогенів у дівчат в період статевого дозрівання під час овуляційного піку, а також протягом всього менструального циклу був значно нижчим, ніж у жінок репродуктивного та клімактеричного віку (А. Ф. Добротина, 1966).
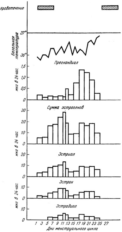
На рис. 9 і 10 наведено графіки екскреції загальних естрогенів, естрадіолу 17-β, естрону і естріолу у здорової дівчата пубертатного віку і у здорової жінки репродуктивного віку протягом менструального циклу тривалістю 25 днів. На обох малюнках чітко видно два характерних підйому екскреції естрогенів. Один, більш високий, відповідає овуляционному, другий - лютеиновому піку. Протягом всього менструального циклу у здорової дівчини, що знаходиться в періоді статевого дозрівання, виділилося з сечею загальних естрогенів 1,970 мг, естрадіолу - 0,347 мг, естрону - 0,647 мг, естріолу 0,965 мг, у здорової жінки репродуктивного віку - відповідно загальних естрогенів - 4,242 мг, естрадіолу - 0,667 мг, естрону - 1,240 мг, естріолу - 2,335 мг, тобто екскреція естрогенів в репродуктивному віці була в 2 з гаком рази вище, ніж у пубертатному віці.

Рис. 9. Виділення естрогенів, прегнандіолу з сечею і базальна температура у X., 25 років.

Рис. 10. Виділення естрогенів з сечею, базальна температура у К., 16 років.
