Загальна кількість естрогенів, як і у попередньої хворий, залишалося постійним на протязі всього періоду дослідження; овуляционный і лютеиновый піки, що характеризують двофазний цикл, були відсутні.
У деяких хворих з постійним низьким типом екскреції естрогенів відзначалося значне переважання активних фракцій естрогенів (рис. 13).

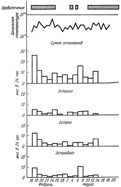
Рис. 13. Виділення естрогенів з сечею і крива базальної температури у хворого Ш., 17 років.
У хворої Ш., 17 років, починаючи з 14-річного віку, кровотечі були нерегулярними, з інтервалами від 1,5 до 6 місяців. Даний кровотеча почалася в жовтні 1963 р. після аменорей протягом 6 місяців. Визначення естрогенів проводилося переважно у фазі кровотечі з 16/II по 14/III 1963 р. Вміст естрогенів залишалося на відносно постійному рівні, при цьому екскреція естрону склала 44,3%, естрадіолу - 32,9%, а естріолу - лише 22,8% від суми загальних естрогенів; індекс [естрон + естрадіол]/ естрадіол дорівнював 3,4.
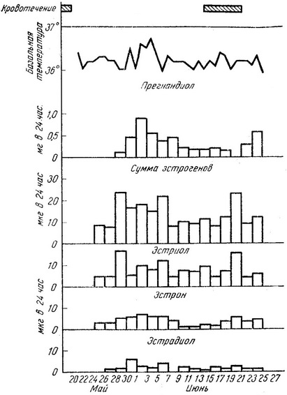
На рис. 14 графічно зображено постійний низький тип екскреції естрогенів з переважанням виділення неактивної фракції естрогенів. Естріол склав 57,8%, естрон - 27,7%, естрадіол - 14,5%. Індекс активних фракцій був рівним 0,7.

Рис. 14. Виділення естрогенів, прегнандіолу з сечею і крива базальної температури у хворої К.. 15 років.
Слід підкреслити, що у більшості хворих з постійно низьким типом екскреції естрогенів тривалі кровотечі починалися після фази тимчасової аменореї тривалістю в кілька тижнів і навіть місяців; перед кровотечею не відзначалося вираженого зниження рівня естрогенів.
Brown і співавтори (1959) у жінок з постійним типом екскреції естрогенів також не спостерігали вираженого зниження титру естрогенів перед початком кровотечі. Наступ кровотечі при подібному типі екскреції естрогенів автори пояснювали деструкцією ендометрію.
Ще Schroder (1915) виявив, що при тривалій персистенції фолікула в ендометрії виникають тромбоз судин, лейкоцитарна інфільтрація, невеликі крововиливи, а потім починається некроз слизової оболонки, внаслідок чого відбуваються тривалі і сильні кровотечі.
В наших дослідженнях у хворих з постійним низьким типом екскреції естрогенів ставлення активних фракцій до неактивної фракції у окремих жінок було різним: в одних переважала фракція естрону та естрадіолу, а в інших - естріолу. Виявити які-небудь закономірності в цьому відношенні нам не вдалося.
Середні показники екскреції естрогенних гормонів при постійному низькому типі у хворих різних вікових груп відрізнялися один від одного. Так, у хворих пубертатного віку в середньому экскретировалось сумарних естрогенів 11,8±0,4 мкг на добу, у хворих репродуктивного віку - 15,1±0,6 мкг на добу, клімактеричного віку - 13,1 ± 1,3 мкг на добу. Таким чином, у жінки в репродуктивному віці вміст сумарних естрогенів, естрадіолу, естрону і естріолу було вищим, ніж у хворих клімактеричного і особливо пубертатного віку (P< 0,001).
