Динамічне визначення естрогенів в 24-48-годинних порціях сечі протягом 4-5 тижнів у 78 хворих, що страждали дисфункціональними матковими кровотечами ановуляторних типу, дозволило нам встановити п'ять типів екскреції естрогенів:
1) низький постійний тип (вміст сумарних естрогенів в середньому не більше 25 мкг на добу);
2) високий постійний тип (вміст сумарних естрогенів в середньому понад 25 мкг на добу);
3) нестійкий тип з нерегулярними разовими підвищеннями та зниженнями рівня естрогенів;
4) тип з вираженим максимумом виділення естрогенів, що нагадує за своїм виглядом овуляционный пік двофазного менструального циклу. Для цього типу характерно те, що в перші дні після припинення кровотечі вміст естрогенів у сечі було невисоким, потім воно збільшувалося і тривалий час трималася на відносно постійному високому рівні. Перед настанням кровотечі рівень естрогенів у сечі знижувався. При даному типі екскреції естрогенів кровотеча виникає у відповідь на різке зменшення продукції естрогенних гормонів, як це спостерігається при овуляторному менструальному циклі;
5) висхідний тип, при якому після припинення кровотечі низький вміст естрогенів у фазі аменореї поступово підвищується і досягає у деяких хворих 100 мкг на добу і більше. У цих випадках кровотеча зазвичай починається при максимальному рівні виділення естрогенів.
На нашу думку, дані типи екскреції естрогенів з сечею є відбиттям різного характеру порушень функції яєчників при дисфункціональних маткових кровотечах.
Низький постійний тип екскреції естрогенів був виявлений у 40 обстежених хворих, при цьому 24 з них були в пубертатному віці, 11 - в репродуктивному та 5 - в клімактеричному.
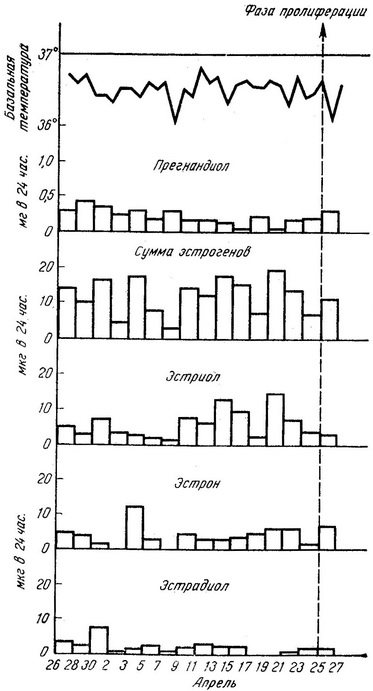
На рис. 11 графічно представлений низький постійний тип екскреції естрогенів у хворої Т.

Рис. 11. Виділення естрогенів, прегнандіолу з сечею і крива базальної температури у хворої Т., 21 року.
Як видно з рис. 11, рівень сумарних естрогенів при відсутності кровотечі залишався майже постійним, не виявили помітного зниження екскреції естрогенів перед настанням кровотечі.
Біопсія ендометрію, вироблена 25/IV 1963 р., показала проліферативну фазу слизової оболонки матки і підтвердила ановуляторний характер кровотечі, що виникла 27/IV 1963 р.
Постійна низька екскреція естрогенів є, мабуть, результатом порушення циклічної продукції гонадотропінів гіпофізом. Однак такого невеликого вмісту естрогенів виявилося достатнім для того, щоб змінилися фізико-хімічні властивості слизу (резкоположительный симптом «зіниці», добре виражена реакція кристалізації і проліферативні зміни слизової оболонки матки).
На рис. 12 графічно зображено постійний тип екскреції з невисоким вмістом естрогенів під час кровотечі у хворої Б., 20 років.

Рис. 12. Виділення естрогенів, прегнандіолу з сечею і крива базальної температури у хворої Б., 20 років.
